产品中心



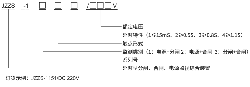
产品型号:JZZS-1153跳位和电源监视继电器
触点形式:4常闭
延时返回:不小于0.8S
安装方式:导轨安装

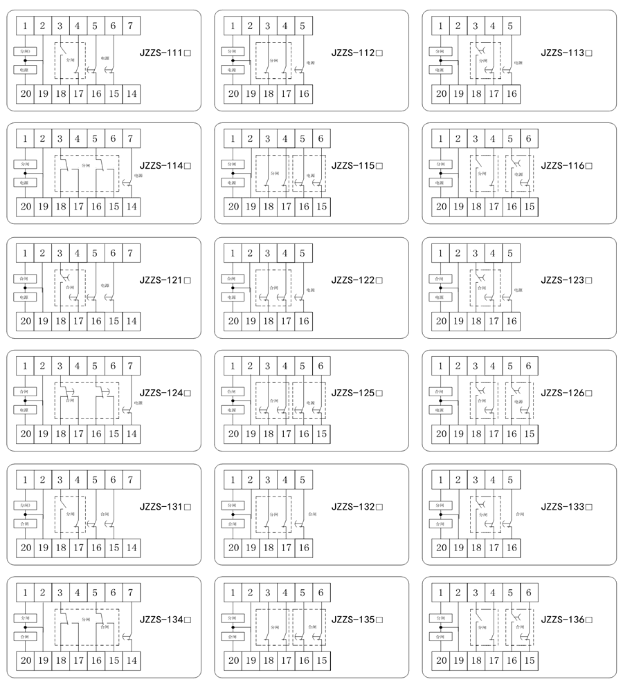
| 型号 | 监测回路 | 监测电流 | 延时时间 |
| JZZS-11□ | 电源监测 | 10mA | 15mS~1.5S |
| 分闸监测 | 1.5mA | 固定延时返回 | |
| JZZS-12□ | 电源监测 | 10mA | 15mS~1.5S |
| 合闸监测 | 1.5mA | 15mS~3S | |
| JZZS-12□ | 分闸监测 | 4.5mA | 固定延时返回 |
| 合闸监测 | 4.5mA | 15mS~3S |


| 额定参数 | |
| 直流额定电压 | 110V、220V可选 |
| 交流额定电压 | 110V、220V可选 |
| 动作值 | ≤70%额定电压 |
| 保持值 | ≥50%额定电压 |
| 延时返回时间 | ≤15mS,≥0.5S,≥0.8S,≥1.1S可选 |
| 动作时间 | ≤15mS |
| 返回值 | >5%额定值 |
| 绝缘性能 | |
| 绝缘电阻 | 继电器外壳与外露带电端子之间用开路电压500V的兆欧表测量,绝缘电阻不小于10MΩ |
| 绝缘耐压 | 继电器外壳与外露带电端子之间能耐受2KV(有效值)50Hz试验电压,历时1分钟,无击穿或闪络现象 |
| 环境条件 | |
| 环境温度 | -15℃~55℃ |
| 工作电压 | 不大于120%额定电压 |
| 工作位置 | 任意 |
| 周围磁场强度 | 小于0.5mT |
| 环境相对湿度 | 不大于90% |
| 大气压力 | 80~110KPa |
| 温度 | -25℃~+70℃ |
| 海拔高度 | 不大于2500 米 |





联系电话
微信扫一扫
